Pentru un orășean orizontul se află până în blocul de vis-a-vis. La câmpie pare îndepărtat, dar dacă stai întins în iarbă se oprește la nasul tău.

Învățați cu orașele noastre nici nu băgăm de seamă cât de interesant este banalul orizont.
Pentru că trăim pe o lume rotundă avem cu toții o problemă de orizont. Explicația orizontului este simplă: la a anumită depărtare de noi curbura planetei duce totul sub ochii noștri. Asfel nu putem vedea obiecte situate la o anume distanță de noi, aceasta depinzând de trei lucruri: înălțimea la care te afli, mărimea (raza) planetei și înălțimea obiectului. Cum aici mă refer numai la linia orizontului, nu voi lua în considerare înălțimea obiectului/formei de relief spre care privești.
Înălțimea contează și este ușor de dovedit: întinde-te în iarbă, privește înainte și vei vedea până la doar câțiva centimetri. Stai în picioare și vei vedea mai departe. Urcă-te pe bloc și vei vedea și mai departe.
Pe Terra, o planetă cu raza de 6378 km, orizontul unei persoane cu înălțimea de 1,8 m se află la 4,8 km, nu atât e departe cum avem impresia. Un câine cu înălțimea de 0,5 m vede până la 2,5 km, iar o pisică până la 1,8 km. Din acest motiv, iubitorii de animale sigur nu se vor supăra pe orizontul limitat al animalelor de companie. Poate de asta vă pleacă hamsterul prin casă: orizontul lui se află la numai 600 de metri.
Toate calculele de mai sus sunt pentru planeta noastră. Pe Lună orizontul este de două ori mai apropiat decât pe Terra (mai exact de 1,91 ori). Pe Marte situația stă aprope ca pe Pământ dar pe Phobos am cam încurcat-o.

Acolo, pe o lume cu raza de numai 11 km, orizontul ar fi de 24 de ori mai apropiat. Nu pisica ci omul ar avea orizontul la numai 200 metri. Poți vedea cu ochii tăi cum „se termină” obiectul pe care stai. Imaginați-vă un oraș mic pe Phobos: străzi care se curbează sub orizont, vărfuri de clădiri. Ca să îți iei o cafea ar trebui să mergi în emisfera cealaltă!
Pe toate corpurile mici am suferi de „orizonto-fobie”, frica de a nu cădea în spațiu.

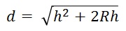
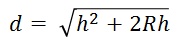
Dacă vrei să calculezi depărtarea la care se află orizontul, fomula este:

d -distanța până la linia orizontului în km;
h – înălțimea de la care privești în km;
R – raza planetei în km (Terra: 6378 km, Luna: 1738 km, Marte: 3396 km, Phobos: 11 km).
Am vorbit despre orizontul „muritorilor de rând”. Poate cândva vom îndrăzni să ne gândim și la orizontul cosmologic…
Daca as locui aproape de malul marii, chiar maine m-as duce la tarm, cu binoclul 15×70, si as scruta orizontul in cautare de cosuri si punti superioare ale vapoarelor ce navigheaza prin zona. Ar fi interesant si chiar distractiv!
…Dar marea e departe…
Interesant punct de vedere. Apreciez! Pe cand si un articol despre noul atlas al Universului? Pun pariu ca nu ai de gand sa ratezi un subiectu ca acesta. Toate cele bune. Pavel.
Interesant punct de vedere. Apreciez! Pe cand si un articol despre noul atlas al Universului. Pun pariu ca nu ai de gand sa ratezi un subiect ca acesta. Mult noroc si toate cele bune.
Pavel.
Super Articolul! Felicitari pentru blog si pentru toata activitatea de la Observator! Multumim ca ne aduci mai aproape de Astronomie! Continua tot asa 🙂
Foarte interesant!
Salut!
As avea si eu o nedumerire caci nu ma pricep prea bine.
Cum se explica geometric faptul ca pe cerul noptii, putem vedea planeta Venus tinand cont de faptul ca noaptea suntem pe o zona a Pamantului ce priveste spre exteriorul sistemului solar insa Venus se afla pe o orbita mai mica decat cea a Pamantului (adica se afla tot timpul spre interiorul sistemului solar)? 🙂
Multumesc!
Bogdan Andreescu
Venus este o planeta interioara dar nu se afla mereu in dreptul Soarelui. Cand se afla la est sau vest de acesta se poate vedea seara sau dimineata. Tocmai pentru ca se afla in interiorul orbitei terestre, Venus nu se vede toata noaptea sau la mijlocul noptii ci doar la apus sau rasarit.